Кластер miR-17-92 и miR-203А как предикторы течения хронического миелолейкоза
https://doi.org/10.21294/1814-4861-2025-24-4-66-81
Аннотация
Введение. В терапии хронического миелолейкоза (ХМЛ) в настоящее время повсеместно применяются ингибиторы тирозинкиназ, и прогрессирование заболевания часто связано с развитием резистентности к ним. Существует потребность в дополнительных инструментах контроля терапии, и таковыми могут стать уровни экспрессии определенных микроРНК (miR).
Цель исследования – оценка уровня экспрессии miR-203а и miR-17-92 в костном мозге и субстратах периферической крови – лимфоцитах, плазме и внеклеточных везикулах у пациентов с ХМЛ с разными характеристиками патологического процесса и врачебного вмешательства.
Материал и методы. Образцы крови и костного мозга 56 пациентов с диагнозом ХМЛ были взяты из Городского гематологического центра Государственного бюджетного учреждения здравоохранения Новосибирской области «Городская клиническая больница № 2» с 2016 по 2017 гг. Уровень экспрессии miR оценивали методом ОТ-ПЦР в реальном времени по принципу taqMan.
Результаты. В костном мозге и лимфоцитах крови уровень экспрессии miR-17, miR-18а и miR-20a оказался выше у пациентов в фазе акселерации (ФА) по сравнению с хронической фазой (ХФ), а также у больных с неблагоприятным прогнозом. Уровень экспрессии miR-19a и miR-19b в плазме был выше у пациентов с ХФ по сравнению с бластным кризом (БК) и у пациентов с благоприятным прогнозом. Уровень экспрессии miR-19а был выше у пациентов с благоприятным прогнозом в микровезикулах, а уровень экспрессии miR-203 был выше у пациентов с благоприятным прогнозом в микровезикулах и плазме крови. Также экспрессия miR-203 оказалась существенно выше в микровезикулах у пациентов, достигших большого молекулярного ответа (БМО).
Заключение. Наиболее перспективными в плане возможного практического применения представляются miR-17, miR-18а и miR-20a в костном мозге и лимфоцитах, miR-19a и miR-19b в плазме крови, а также miR-203 в плазме крови и в микровезикулах.
Ключевые слова
Об авторах
М. Л. ПерепечаеваРоссия
Перепечаева Мария Леонидовна, кандидат биологических наук, старший научный сотрудник, Научно-исследовательский институт молекулярной биологии и биофизики
Researcher ID (WOS): AAG-1840-2020. Author ID (Scopus): 8283410900.
630060, г. Новосибирск, ул. Тимакова, 2
О. Б. Горева
Россия
Горева Ольга Борисовна, кандидат биологических наук, старший научный сотрудник, Научно-исследовательский институт молекулярной биологии и биофизики
Researcher ID (WOS): K-3428-2013. Author ID (Scopus): 8691755700.
630060, г. Новосибирск, ул. Тимакова, 2
А. С. Лямкина
Россия
Лямкина Анна Сергеевна, кандидат медицинских наук, доцент кафедры терапии, гематологии и трансфузиологии ФПК и ППВ
Researcher ID (WOS): Y-7192-2018. Author ID (Scopus): 16310262000.
630091, г. Новосибирск, Красный пр-т, 52
Т. И. Поспелова
Россия
Поспелова Татьяна Ивановна, доктор медицинских наук, профессор, заведующая кафедрой терапии, гематологии и трансфузиологии ФПК и ППВ
Author ID (Scopus): 7005792562.
630091, г. Новосибирск, Красный пр-т, 52
А. Ю. Гришанова
Россия
Гришанова Алевтина Юрьевна, доктор биологических наук, профессор, главный научный сотрудник, заведующая лабораторией чужеродных соединений, Научно-исследовательский институт молекулярной биологии и биофизики
Researcher ID (WOS): C-1759-2014. Author ID (Scopus): 7004298657.
630060, г. Новосибирск, ул. Тимакова, 2
Список литературы
1. Minciacchi V.R., Kumar R., Krause D.S. Chronic Myeloid Leukemia: A Model Disease of the Past, Present and Future. Cells. 2021; 10(1): 117. doi: 10.3390/cells10010117.
2. Hochhaus A., Baccarani M., Silver R.T., Schiffer C., Apperley J.F., Cervantes F., Clark R.E., Cortes J.E., Deininger M.W., Guilhot F., HjorthHansen H., Hughes T.P., Janssen J., Kantarjian H.M., Kim D.W., Larson R.A., Lipton J.H., Mahon F.X., Mayer J., Nicolini F., Niederwieser D., Pane F., Radich J.P., Rea D., Richter J., Rosti G., Rousselot P., Saglio G., Saussele S., Soverini S., Steegmann J.L., Turkina A., Zaritskey A., Hehlmann R. European LeukemiaNet 2020 recommendations for treating chronic myeloid leukemia. Leukemia. 2020; 34(4): 966–84. doi: 10.1038/s41375-020-0776-2.
3. Cross N.C.P., Ernst T., Branford S., Cayuela J.M., Deininger M., Fabarius A., Kim D.D.H., Machova Polakova K., Radich J.P., Hehlmann R., Hochhaus A., Apperley J.F., Soverini S. European LeukemiaNet laboratory recommendations for the diagnosis and management of chronic myeloid leukemia. Leukemia. 2023; 37(11): 2150–67. doi: 10.1038/s41375-023-02048-y.
4. Khoury J.D., Solary E., Abla O., Akkari Y., Alaggio R., Apperley J.F., Bejar R., Berti E., Busque L., Chan J.K.C., Chen W., Chen X., Chng W.J., Choi J.K., Colmenero I., Coupland S.E., Cross N.C.P., De Jong D., Elghetany M.T., Takahashi E., Emile J.F., Ferry J., Fogelstrand L., Fontenay M., Germing U., Gujral S., Haferlach T., Harrison C., Hodge J.C., Hu S., Jansen J.H., Kanagal-Shamanna R., Kantarjian H.M., Kratz C.P., Li X.Q., Lim M.S., Loeb K., Loghavi S., Marcogliese A., Meshinchi S., Michaels P., Naresh K.N., Natkunam Y., Nejati R., Ott G., Padron E., Patel K.P., Patkar N., Picarsic J., Platzbecker U., Roberts I., Schuh A., Sewell W., Siebert R., Tembhare P., Tyner J., Verstovsek S., Wang W., Wood B., Xiao W., Yeung C., Hochhaus A. The 5th edition of the World Health Organization Classification of Haematolymphoid Tumours: Myeloid and Histiocytic/Dendritic Neoplasms. Leukemia. 2022; 36(7): 1703–19. doi: 10.1038/s41375-022-01613-1.
5. Hussein B.M., Hidayat H.J., Salihi A., Sabir D.K., Taheri M., Ghafouri-Fard S. MicroRNA: A signature for cancer progression. Biomed Pharmacother. 2021; 138: 111528. doi: 10.1016/j.biopha.2021.111528.
6. Condrat C.E., Thompson D.C., Barbu M.G., Bugnar O.L., Boboc A., Cretoiu D., Suciu N., Cretoiu S.M., Voinea S.C. miRNAs as Biomarkers in Disease: Latest Findings Regarding Their Role in Diagnosis and Prognosis. Cells. 2020; 9(2): 276. doi: 10.3390/cells9020276.
7. Miura N., Hasegawa J., Shiota G. Serum messenger RNA as a biomarker and its clinical usefulness in malignancies. Clin Med Oncol. 2008; 2: 511–27. doi: 10.4137/cmo.s379.
8. Bai X., Hua S., Zhang J., Xu S. The MicroRNA Family Both in Normal Development and in Different Diseases: The miR-17-92 Cluster. Biomed Res Int. 2019: 9450240. doi: 10.1155/2019/9450240.
9. Khuu C., Utheim T.P., Sehic A. The Three Paralogous MicroRNA Clusters in Development and Disease, miR-17-92, miR-106- a-363, and miR-106b-25. Scientifica (Cairo). 2016: 1379643. doi: 10.1155/2016/1379643.
10. Bonauer A., Dimmeler S. The microRNA-17-92 cluster: still a miRacle? Cell Cycle. 2009; 8(23): 3866–73. doi: 10.4161/cc.8.23.9994.
11. Li M., Guan X., Sun Y., Mi J., Shu X., Liu F., Li C. miR-92a family and their target genes in tumorigenesis and metastasis. Exp Cell Res. 2014; 323(1): 1–6. doi: 10.1016/j.yexcr.2013.12.025.
12. Venturini L., Battmer K., Castoldi M., Schultheis B., Hochhaus A., Muckenthaler M.U., Ganser A., Eder M., Scherr M. Expression of the miR- 17-92 polycistron in chronic myeloid leukemia (CML) CD34+ cells. Blood. 2007; 109(10): 4399–405. doi: 10.1182/blood-2006-09-045104.
13. Zhao W., Gupta A., Krawczyk J., Gupta S. The miR-17-92 cluster: Yin and Yang in human cancers. Cancer Treat Res Commun. 2022; 33: 100647. doi: 10.1016/j.ctarc.2022.100647.
14. Jimbu L., Mesaros O., Joldes C., Neaga A., Zaharie L., Zdrenghea M. MicroRNAs Associated with a Bad Prognosis in Acute Myeloid Leukemia and Their Impact on Macrophage Polarization. Biomedicines. 2024; 12(1): 121. doi: 10.3390/biomedicines12010121.
15. Hu T., Chong Y., Qin H., Kitamura E., Chang C.S., Silva J., Ren M., Cowell J.K. The miR-17/92 cluster is involved in the molecular etiology of the SCLL syndrome driven by the BCR-FGFR1 chimeric kinase. Oncogene. 2018; 37(14): 1926–38. doi: 10.1038/s41388-017-0091-1.
16. Huang X., Chen Z., Ni F., Ye X., Qian W. Shikonin overcomes drug resistance and induces necroptosis by regulating the miR-92a-1-5p/MLKL axis in chronic myeloid leukemia. Aging (Albany NY). 2020; 12(17): 17662–80. doi: 10.18632/aging.103844.
17. Jia Q., Sun H., Xiao F., Sai Y., Li Q., Zhang X., Yang S., Wang H., Wang H., Yang Y., Wu C.T., Wang L. miR-17-92 promotes leukemogenesis in chronic myeloid leukemia via targeting A20 and activation of NF-kappaB signaling. Biochem Biophys Res Commun. 2017; 487(4): 868–74. doi: 10.1016/j.bbrc.2017.04.144.
18. Sawyers C.L., Callahan W., Witte O.N. Dominant negative MYC blocks transformation by ABL oncogenes. Cell. 1992; 70(6): 901–10. doi: 10.1016/0092-8674(92)90241-4.
19. Gasparini C., Celeghini C., Monasta L., Zauli G. NF-kappaB pathways in hematological malignancies. Cell Mol Life Sci. 2014; 71(11): 2083–2102. doi: 10.1007/s00018-013-1545-4.
20. Li S., Li L., Li J., Liang X., Song C., Zou Y. miR-203, fine-tunning neuroinflammation by juggling different components of NF-kappaB signaling. J Neuroinflammation. 2022; 19(1): 84. doi: 10.1186/s12974-022-02451-9.
21. Liu X., Cheng F., Bai X., Zhao T., Zhao L., Wang L., Li M., Wu X., Chen X., Tang P., Wang M., Jiang L., Yan C., Pei F., Gao X., Ma N., Yang B., Zhang Y. MiR-203 is an anti-obese microRNA by targeting apical sodiumdependent bile acid transporter. iScience. 2022; 25(8): 104708. doi: 10.1016/j.isci.2022.104708.
22. Liu Z., Huang Y., Han Z., Shen Z., Yu S., Wang T., Dong Z., Kang M. Exosome-mediated miR-25/miR-203 as a potential biomarker for esophageal squamous cell carcinoma: improving early diagnosis and revealing malignancy. Transl Cancer Res. 2021; 10(12): 5174–82. doi: 10.21037/tcr-21-1123.
23. Xu M., Gu M., Zhang K., Zhou J., Wang Z., Da J. miR-203 inhibition of renal cancer cell proliferation, migration and invasion by targeting of FGF2. Diagn Pathol. 2015; 10: 24. doi: 10.1186/s13000-015-0255-7.
24. Han N., Li H., Wang H. MicroRNA-203 inhibits epithelialmesenchymal transition, migration, and invasion of renal cell carcinoma cells via the inactivation of the PI3K/AKT signaling pathway by inhibiting CAV1. Cell Adh Migr. 2020; 14(1): 227–41. doi: 10.1080/19336918.2020.1827665.
25. Shibuta T., Honda E., Shiotsu H., Tanaka Y., Vellasamy S., Shiratsuchi M., Umemura T. Imatinib induces demethylation of miR-203 gene: an epigenetic mechanism of anti-tumor effect of imatinib. Leuk Res. 2013; 37(10): 1278–86. doi: 10.1016/j.leukres.2013.07.019.
26. He J.H., Li Y.M., Li Y.G., Xie X.Y., Wang L., Chun S.Y., Cheng W.J. hsa-miR-203 enhances the sensitivity of leukemia cells to arsenic trioxide. Exp Ther Med. 2013; 5(5): 1315–21. doi: 10.3892/etm.2013.981.
27. He J., Han Z., An Z., Li Y., Xie X., Zhou J., He S., Lv Y., He M., Qu H., Liu G., Li Y. The miR-203a Regulatory Network Affects the Proliferation of Chronic Myeloid Leukemia K562 Cells. Front Cell Dev Biol. 2021; 9: 616711. doi: 10.3389/fcell.2021.616711.
28. Abdulmawjood B., Costa B., Roma-Rodrigues C., Baptista P.V., Fernandes A.R. Genetic Biomarkers in Chronic Myeloid Leukemia: What Have We Learned So Far? Int J Mol Sci. 2021; 22(22): 12516. doi: 10.3390/ijms222212516.
29. Li Y., Yuan Y., Tao K., Wang X., Xiao Q., Huang Z., Zhong L., Cao W., Wen J., Feng W. Inhibition of BCR/ABL protein expression by miR-203 sensitizes for imatinib mesylate. PLoS One. 2013; 8(4): e61858. doi: 10.1371/journal.pone.0061858.
30. Hallek M., Cheson B.D., Catovsky D., Caligaris-Cappio F., Dighiero G., Dohner H., Hillmen P., Keating M.J., Montserrat E., Rai K.R., Kipps T.J., International Workshop on Chronic Lymphocytic L. Guidelines for the diagnosis and treatment of chronic lymphocytic leukemia: a report from the International Workshop on Chronic Lymphocytic Leukemia updating the National Cancer Institute-Working Group 1996 guidelines. Blood. 2008; 111(12): 5446–56. doi: 10.1182/blood-2007-06-093906.
31. Baccarani M., Deininger M.W., Rosti G., Hochhaus A., Soverini S., Apperley J.F., Cervantes F., Clark R.E., Cortes J.E., Guilhot F., Hjorth-Hansen H., Hughes T.P., Kantarjian H.M., Kim D.W., Larson R.A., Lipton J.H., Mahon F.X., Martinelli G., Mayer J., Muller M.C., Niederwieser D., Pane F., Radich J.P., Rousselot P., Saglio G., Saussele S., Schiffer C., Silver R., Simonsson B., Steegmann J.L., Goldman J.M., Hehlmann R. European LeukemiaNet recommendations for the management of chronic myeloid leukemia: 2013. Blood. 2013; 122(6): 872–84. doi: 10.1182/blood-2013-05-501569.
32. Российские клинические рекомендации по диагностике и лечению лимфопролиферативных заболеваний. Под ред. И.В. Поддубной, В.Г. Савченко. М., 2016. URL: chrome-extension://efaidnbmnnnibpcajpcglclefindmkaj/https://irbis.rmapo.ru/UploadsFilesForIrbis/1f77dc9fc2f08fe5594aa6dee5793a59.pdf.
33. Лямкина А.C., Нечунаева И.Н., Воронцова Е.В., Таирова С.А., Александрова Т.Н., Науменко О.В., Поспелова Т.И. Сравнение заболеваемости и результатов лечения хронического миелолейкоза в Новосибирске и Новосибирской области. Гематология и трансфузиология. 2023; 68(1): 35–49. doi: 10.35754/0234-5730-2023-68-1-35-49. EDN: SSLNZA.
34. Перепечаева М.Л., Горева О.Б., Березина О.В., Поспелова Т.И., Гришанова А.Ю. miR-155 и miR-223 как маркеры клинических особенностей течения хронического лимфолейкоза. Сибирский онкологический журнал. 2024; 23(2): 75–86. doi: 10.21294/1814-4861-2024-23-1-75-86. EDN: JABBDL.
35. Yuan W.X., Gui Y.X., Na W.N., Chao J., Yang X. Circulating microRNA-125b and microRNA-130a expression profiles predict chemoresistance to R-CHOP in diffuse large B-cell lymphoma patients. Oncol Lett. 2016; 11(1): 423–32. doi: 10.3892/ol.2015.3866.
36. Liu X., Haniff H.S., Childs-Disney J.L., Shuster A., Aikawa H., Adibekian A., Disney M.D. Targeted Degradation of the Oncogenic MicroRNA 17-92 Cluster by Structure-Targeting Ligands. J Am Chem Soc. 2020; 142(15): 6970–82. doi: 10.1021/jacs.9b13159.
37. Qian Y.Y., Liu Z.S., Zhang Z., Levenson A.S., Li K. Pterostilbene increases PTEN expression through the targeted downregulation of microRNA-19a in hepatocellular carcinoma. Mol Med Rep. 2018; 17(4): 5193–201. doi: 10.3892/mmr.2018.8515.
38. Peng C., Chen Y., Yang Z., Zhang H., Osterby L., Rosmarin A.G., Li S. PTEN is a tumor suppressor in CML stem cells and BCR-ABLinduced leukemias in mice. Blood. 2010; 115(3): 626–35. doi: 10.1182/blood-2009-06-228130.
39. Chakraborty C., Sharma A.R., Patra B.C., Bhattacharya M., Sharma G., Lee S.S. MicroRNAs mediated regulation of MAPK signaling pathways in chronic myeloid leukemia. Oncotarget. 2016; 7(27): 42683–97. doi: 10.18632/oncotarget.7977.
Дополнительные файлы
|
|
1. Рис. 1. Уровень экспрессии miR-17-92 (А-F) и miR-203а (G) в костном мозге и лимфоцитах периферической крови у пациентов с различными фазами заболевания. Данные представлены в виде медианы и 25–75 процентилей, минимального и максимального значений относительного уровня экспрессии. Хроническая фаза (ХФ) – n=45–50, фаза акселерации (ФA) – n=3, бластный криз (БК) – n=3; рисунок выполнен авторами | |
| Тема | ||
| Тип | Исследовательские инструменты | |
Посмотреть
(900KB)
|
Метаданные ▾ | |
|
|
2. Рис. 1. Уровень экспрессии miR-17-92 (А-F) и miR-203а (G) в костном мозге и лимфоцитах периферической крови у пациентов с различными фазами заболевания. Данные представлены в виде медианы и 25–75 процентилей, минимального и максимального значений относительного уровня экспрессии. Хроническая фаза (ХФ) – n=45–50, фаза акселерации (ФA) – n=3, бластный криз (БК) – n=3; рисунок выполнен авторами | |
| Тема | ||
| Тип | Исследовательские инструменты | |
Посмотреть
(678KB)
|
Метаданные ▾ | |
|
|
3. Рис. 2. Уровень экспрессии miR-17-92 (А-F) и miR-203а (G) в костном мозге и лимфоцитах периферической крови в группах пациентов с различным прогнозом заболевания. Данные представлены в виде медианы и 25–75 процентилей, минимального и максимального значений относительного уровня экспрессии. Благоприятный прогноз (благ.) – n=27–33, промежуточный прогноз (пром.) – n=12–15, неблагоприятный прогноз (небл.) – n=8; рисунок выполнен авторами | |
| Тема | ||
| Тип | Исследовательские инструменты | |
Посмотреть
(1MB)
|
Метаданные ▾ | |
|
|
4. Рис. 2. Уровень экспрессии miR-17-92 (А-F) и miR-203а (G) в костном мозге и лимфоцитах периферической крови в группах пациентов с различным прогнозом заболевания. Данные представлены в виде медианы и 25–75 процентилей, минимального и максимального значений относительного уровня экспрессии. Благоприятный прогноз (благ.) – n=27–33, промежуточный прогноз (пром.) – n=12–15, неблагоприятный прогноз (небл.) – n=8; рисунок выполнен авторами | |
| Тема | ||
| Тип | Исследовательские инструменты | |
Посмотреть
(898KB)
|
Метаданные ▾ | |
|
|
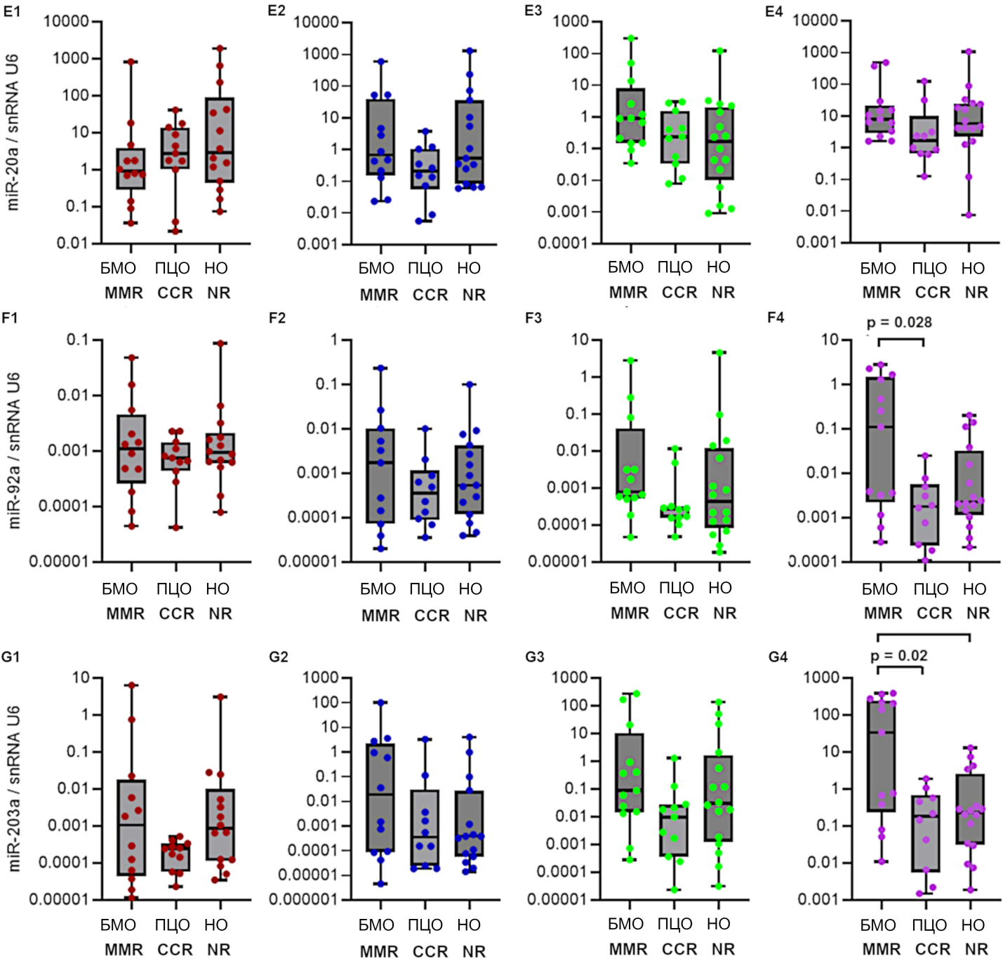
5. Рис. 3. Уровень экспрессии miR-17-92 (А-F) и miR-203а (G) в костном мозге и лимфоцитах периферической крови в группах пациентов с разным ответом на терапию. Данные представлены в виде медианы и 25–75 процентилей, минимального и максимального значений относительного уровня экспрессии. Большой молекулярный ответ (MMR) – n=12–13, полный цитогенетический ответ (CCR) – n=10–11, нет ответа – n=14–16; рисунок выполнен авторами | |
| Тема | ||
| Тип | Исследовательские инструменты | |
Посмотреть
(1MB)
|
Метаданные ▾ | |
|
|
6. Рис. 3. Уровень экспрессии miR-17-92 (А-F) и miR-203а (G) в костном мозге и лимфоцитах периферической крови в группах пациентов с разным ответом на терапию. Данные представлены в виде медианы и 25–75 процентилей, минимального и максимального значений относительного уровня экспрессии. Большой молекулярный ответ (MMR) – n=12–13, полный цитогенетический ответ (CCR) – n=10–11, нет ответа – n=14–16; рисунок выполнен авторами | |
| Тема | ||
| Тип | Исследовательские инструменты | |
Посмотреть
(775KB)
|
Метаданные ▾ | |
Рецензия
Для цитирования:
Перепечаева М.Л., Горева О.Б., Лямкина А.С., Поспелова Т.И., Гришанова А.Ю. Кластер miR-17-92 и miR-203А как предикторы течения хронического миелолейкоза. Сибирский онкологический журнал. 2025;24(4):66-81. https://doi.org/10.21294/1814-4861-2025-24-4-66-81
For citation:
Perepechaeva M.L., Goreva O.B., Lyamkina A.S., Pospelova T.I., Grishanova A.Yu. miR-17-92 and miR-203A clusters as predictors of the clinical course of chronic myeloid leukemia. Siberian journal of oncology. 2025;24(4):66-81. (In Russ.) https://doi.org/10.21294/1814-4861-2025-24-4-66-81
JATS XML








































